摘要:对于一般设备要求的直线导轨寿命、刚度要求的选型计算方法,以及直线导轨类型、精度、预紧力选择的参考,为选择直线导轨提供计算依据。
关键词:直线导轨
直线导轨具有低摩擦、使用方便的特点,一般被应用在负载不是很大、运动速度比较高的场合。目前被广泛使用在需要做各种直线运动的机器设备上。如何通过比较合理的计算获取主要参数二选择合适的直线导轨,对于机器设备的精度、寿命以及降低成本具有很重要的意义。
1.类型选择
目前市场上直线导轨的生产厂家很多,各个厂家的型号命名和类型有所不同。中达PMI的直线导轨类型比较齐全,基本上可以完全覆盖市场上的所有需求,其主要的类型有自调心全钢珠重负荷型(MSA)、自调心全钢珠低组装型(MSB)、全不锈钢微小型(MSC)、全滚柱重负荷型(MSR)、静音钢珠(柱)重负荷型(SME/R)。
直线导轨的选型主要是依据不同的导轨特点和设计要求进行选择,PMI直线导轨依据使用经验可以参照表1选择。
表1 中达PMI直线导轨主要类型及适用设备

2.精度选择
直线导轨的精度包括:
1.行走平行度(动态精度)。包括滑块C面(上表面)相对滑轨A面(底面)的行走平行度,滑块D面(滑块侧基准面)相对滑轨B面(滑轨侧基准面)的行走平行度。
2.几何尺寸精度。包括高度H的尺寸容许误差,高度H的成对相互差(△H)、宽度W2的尺寸容许误差、宽度W2的成对相互误差(△W2)。精度具体含义如下图1。

图1 直线导轨的精度示意图
精度等级根据误差的容许范围分为:普通级(N)、高级(H)、精密级(P)、超精密级(SP)、超高精密级(UP),具体的相应等级对应的容许误差值可以查阅PMI的相关样本手册。根据一般的使用经验给出数控机床的等级选择参考。如表2所示。
表2直线导轨精度等级适用数控机床类型参考

3.滑块载荷计算
在一般的设备上工作台多采用4个滑块的直线导轨来承载水平运动,4个滑块承载的工作台水平运动载荷受力情况如图2所示。

图2 滑块工作台水平运动载荷受力图
如果还有其它类型的受力情况,可参阅PMI样本手册中的计算图例说明。
4.预压等级的确定
预压力的大小决定了导轨的刚性大小,同时可以消除一定的滑块径向间隙,实验证明预压的效果可以提高未预压时直线导轨的刚性2。8倍。PMI的直线导轨预压等级分为:轻预压(FC),中预压(F0),重预压(F1),超重预压(F2)四个等级。正确的选定直线导轨的预压力对设备的刚性具有很大的影响。根据一般的使用经验给出表3的预压等级参考。
表3 预压等级使用条件及应用行业参考

5.按照寿命要求选择
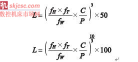
直线导轨的寿命L根据实际所承受载荷有所不同,一般可以根据滑块的基本额定动负荷C和工作负荷P推算使用寿命,直线导轨的使用寿命会随着使用运动状态、滚动面的硬度与环境温度的而变化,依据循环滚动体类型,选用图3的钢珠/钢柱直线导轨寿命计算公式:

图3 钢珠/钢柱直线导轨寿命计算公式
⑴硬度系数fH。直线导轨的滚动面硬度必须为HRC58~64,硬度过低会降低直线导轨的负荷能力,此时基本额定动、静负荷分别乘以硬度系数fH,出厂的PMI直线导轨硬度为HRC58以上,故此fH=1.0。

图4 硬度系数fH
⑵温度系数fT。直线导轨使用环境温度高于100℃时高温效应会影响其寿命,此时基本额定动、静负荷分别乘以相对的温度系数fT。PMI直线导轨部份的配件为塑料制品,环境温度不能高于100℃。

图5 温度系数fT
⑶负荷系数fw。直线导轨导
轨实际使用中大都伴随着震动或冲击,在考虑到不同的运转条件与使用速度,根据经验得到负荷系数除以基本额定动负荷C。经验取值如表4所示。
表4 负荷系数fw经验取值表

6.计算应用实例
根据目前PMI使用某客户简易工作平台为例说明。
MSA25E2SSF0+R900NII
基本额定动负荷:C=28.1kN
基本额定静负荷:C0 =42.4kN

图6 某客户简易工作平台

如果您有机床行业、企业相关新闻稿件发表,或进行资讯合作,欢迎联系本网编辑部, 邮箱:skjcsc@vip.sina.com





